首页 > 产品介绍 > 农没学品 > Herbicide > Metsulfuron-methyl
Metsulfuron-methyl

Chemical: Metsulfuron-methyl
Use category: Herbicide
Content & formulation:
Metsulfuron-methyl 96% TC
Metsulfuron-methyl 60% WP
Metsulfuron-methyl 60% WDG
Chemical
Metsulfuron-methyl
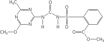
Structure Formula
Common Name
Metsulfuron-methyl
CAS No.
74223-64-6
CAS Name
Methyl 2-[[[[(4-methoxy-6-methyl-1,3,5-triazin-2-yl)amino]carbonyl]amino]sulfonyl]benzoate
Molecular Formula
C14H15N5O6S
Agrochemical Type
Herbicide, sulfonylurea
Mode of Action
Selective, systemic with contact and residual action. Inhibits plant amino acid synthesis. Absorbed through the roots and foliage and translocated to the apex of the plants. Symptoms appear within days with death within 2-4 weeks
Characteristics and Uses
Controls a wide range of grass and broad-leaved weeds in wheat, barley, rice, oats and triticale by post-emergence application, at 4-8 g/ha.
| Metsulfuron-methyl 96% TC | ||
![]() |
ITEMS | STANDARDS |
| Appearance |
Off-white to beige,homogenous, crystalline solid | |
| Content of a.i. | ≥96% | |
| Water | ≤0.5% | |
| Acidity(as H2SO4) | ≤0.5% | |
| Metsulfuron-methyl 60% WP | ||
![]() |
ITEMS | STANDARDS |
| Appearance | Homogeneous loose powders | |
| Content of a.i. | ≥60% | |
| Water | ≤3.0% | |
| Suspensibility | ≥70% | |
| Wetting time | ≤60s | |
| Metsulfuron-methyl 60% WDG | ||
![]() |
ITEMS | STANDARDS |
| Appearance | White to light tan, Granules | |
| Content of a.i. | ≥60% | |
| Persistent foam(1 min) | ≤25ml | |
| Wet sieve (through 44µm sieve) | ≥98% | |
| Suspensibility | ≥75% | |
| Dispersibility | ≥70% | |
请用中文填写下列表单,将会有专业人员与你联系。
备注: 所有信息,我们定会严守秘密;除了直接联系您外,上海好年国际贸易有限公司不会将表单中的信息做其他用途。









